Figure 2
From: Recombinant λ-phage nanobioparticles for tumor therapy in mice models

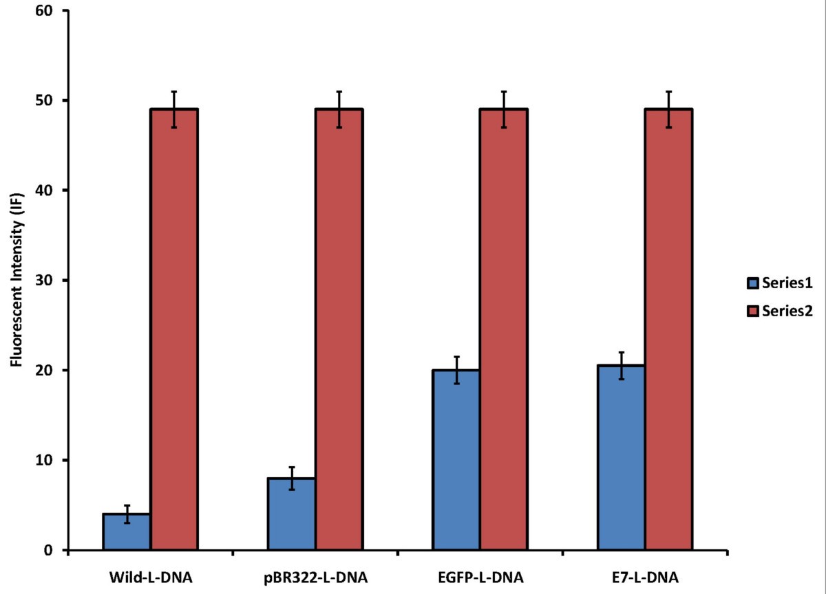
Packaging efficiency of wild-λ-DNA, pBR322-λ-DNA, EGFP-λ-DNA, and E7-λ-DNA before (series 2) and after (series 1) packaging using Gigapack.
From: Recombinant λ-phage nanobioparticles for tumor therapy in mice models

Packaging efficiency of wild-λ-DNA, pBR322-λ-DNA, EGFP-λ-DNA, and E7-λ-DNA before (series 2) and after (series 1) packaging using Gigapack.